SOLUTION: Solve for x T=R/Z+x

Algebra ->  Coordinate Systems and Linear Equations  -> Lessons -> SOLUTION: Solve for x T=R/Z+x      Log On


   



Question 790337: Solve for x


T=R/Z+x

Answer by jim_thompson5910(35256) About Me  (Show Source):
You can put this solution on YOUR website!
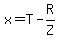
If the equation is T=R%2FZ%2Bx, then

T=R%2FZ%2Bx

T+-+R%2FZ+=+x

x+=+T+-+R%2FZ


-------------------------------------------------------


OR

If the equation is T=R%2F%28Z%2Bx%29, then

T=R%2F%28Z%2Bx%29

T%28Z%2Bx%29=R

TZ%2BTx=R

Tx=R-TZ

x=%28R-TZ%29%2FT