SOLUTION: 6x - y= -4. 2x + 2y = -2. How do i solve that ??

Algebra ->  Coordinate Systems and Linear Equations  -> Lessons -> SOLUTION: 6x - y= -4. 2x + 2y = -2. How do i solve that ??      Log On


   



Question 555472: 6x - y= -4. 2x + 2y = -2.
How do i solve that ??

Answer by jim_thompson5910(35256) About Me  (Show Source):
You can put this solution on YOUR website!

Start with the given system of equations:
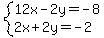
system%286x-y=-4%2C2x%2B2y=-2%29


2%286x-y%29=2%28-4%29 Multiply the both sides of the first equation by 2.


12x-2y=-8 Distribute and multiply.


So we have the new system of equations:
system%2812x-2y=-8%2C2x%2B2y=-2%29


Now add the equations together. You can do this by simply adding the two left sides and the two right sides separately like this:


%2812x-2y%29%2B%282x%2B2y%29=%28-8%29%2B%28-2%29


%2812x%2B2x%29%2B%28-2y%2B2y%29=-8%2B-2 Group like terms.


14x%2B0y=-10 Combine like terms.


14x=-10 Simplify.


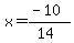
x=%28-10%29%2F%2814%29 Divide both sides by 14 to isolate x.


x=-5%2F7 Reduce.


------------------------------------------------------------------


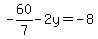
12x-2y=-8 Now go back to the first equation.


12%28-5%2F7%29-2y=-8 Plug in x=-5%2F7.


-60%2F7-2y=-8 Multiply.


7%28-60%2Fcross%287%29-2y%29=7%28-8%29 Multiply both sides by the LCD 7 to clear any fractions.


-60-14y=-56 Distribute and multiply.


-14y=-56%2B60 Add 60 to both sides.


-14y=4 Combine like terms on the right side.


y=%284%29%2F%28-14%29 Divide both sides by -14 to isolate y.


y=-2%2F7 Reduce.


So the solutions are x=-5%2F7 and y=-2%2F7.


Which form the ordered pair .


This means that the system is consistent and independent.


If you need more help, email me at jim_thompson5910@hotmail.com

Also, please consider visiting my website: http://www.freewebs.com/jimthompson5910/home.html and making a donation. Thank you

Jim