SOLUTION: Solve for unknown: 3x-4y=10 4x-3y=5 (I used the method of interchangeable coefficients but not getting the answer)

Algebra ->  Coordinate Systems and Linear Equations  -> Lessons -> SOLUTION: Solve for unknown: 3x-4y=10 4x-3y=5 (I used the method of interchangeable coefficients but not getting the answer)      Log On


   



Question 404857: Solve for unknown:
3x-4y=10
4x-3y=5
(I used the method of interchangeable coefficients but not getting the answer)

Answer by josmiceli(19441) About Me  (Show Source):
You can put this solution on YOUR website!
3x+-+4y+=+10
4x+-+3y+=+5
I think I would multiply the top equation by -%283%2F4%29
-%289%2F4%29%2Ax+%2B+3y+=+-+15%2F2
4x+-+3y+=+5 (now add)
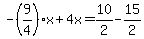
-%289%2F4%29%2Ax+%2B+4x+=+10%2F2+-+15%2F2
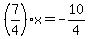
%2816%2F4+-+9%2F4%29%2Ax+=+-+5%2F2
%287%2F4%29%2Ax+=+-10%2F4
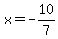
7x+=+-10
x+=+-10%2F7
Substitute this in the top equation:
-30%2F7+-+4y+=+70%2F7
-30+-+28y+=+70
28y+=+-100
y+=+-25%2F7
I'll check the 2nd equation:
4x+-+3y+=+5
4%28-10%2F7%29+-+3%28-25%2F7%29+=+5
-40%2F7+%2B+75%2F7+=+35%2F7
35%2F7+=+35%2F7
OK
You can check 1st