SOLUTION: Please help: use the elimination method to find all solutions of the system of equation. Problem 1: 2x^2+4y=13 , x^2-y^2=7/2 Problem 2: x^2-y^2=1 , 2x^2-y^2=x+3

Algebra ->  Coordinate Systems and Linear Equations  -> Lessons -> SOLUTION: Please help: use the elimination method to find all solutions of the system of equation. Problem 1: 2x^2+4y=13 , x^2-y^2=7/2 Problem 2: x^2-y^2=1 , 2x^2-y^2=x+3      Log On


   



Question 372695: Please help: use the elimination method to find all solutions of the system of equation.
Problem 1: 2x^2+4y=13 , x^2-y^2=7/2
Problem 2: x^2-y^2=1 , 2x^2-y^2=x+3

Answer by Fombitz(32388) About Me  (Show Source):
You can put this solution on YOUR website!
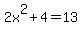
1.2x%5E2%2B4y=13
2.x%5E2-y%5E2=7%2F2
Multiply eq. 2 by (-2) and add to eq. 1,
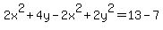
2x%5E2%2B4y-2x%5E2%2B2y%5E2=13-7
2y%5E2%2B4y=6
y%5E2%2B2y-3=0
%28y%2B3%29%28y-1%29=0
Two solutions:
y%2B3=0
highlight%28y=-3%29
Then from eq. 1,
2x%5E2-12=13
2x%5E2=25
x%5E2=25%2F2
highlight%28x=0+%2B-+%285%2F2%29sqrt%282%29%29
.
.
.
y-1=0
highlight_green%28+y=1%29
Then from eq. 1,
2x%5E2%2B4=13
2x%5E2=9
x%5E2=9%2F2
highlight_green%28+x=0+%2B-+%283%2F2%29sqrt%282%29%29
.
.
.

.
.
.
X
XX
XXXXXXXX
XXXXXXXXXXXX
XXXXXXXXXXXXXX
XXXXXXXXXXXXXXXX
XXXXXXXXXXXXXX
XXXXXXXXXXXX
XXXXXXXX
XX
X
.
.
.
1.x%5E2-y%5E2=1
2.2x%5E2-y%5E2=x%2B3
Subtract eq. 1 from eq. 2,
2x%5E2-y%5E2-x%5E2%2By%5E2=x%2B3-1
x%5E2=x%2B2
x%5E2-x-2=0
%28x-2%29%28x%2B1%29=0
Two solutions:
x-2=0
highlight%28x=2%29
Then from eq. 1,
4-y%5E2=1
y%5E2=3
highlight%28y=0+%2B-+sqrt%283%29%29
.
.
.
x%2B1=0
highlight_green%28x=-1%29
Then from eq. 1,
1-y%5E2=1
y%5E2=0
highlight_green%28y=0%29
.
.
.

.
.
.