SOLUTION: can you help me solve this? 2/t=t/4t-6. I cannot get the correct answer of (6,2)

Algebra ->  Coordinate Systems and Linear Equations  -> Lessons -> SOLUTION: can you help me solve this? 2/t=t/4t-6. I cannot get the correct answer of (6,2)      Log On


   



Question 355693: can you help me solve this? 2/t=t/4t-6. I cannot get the correct answer of (6,2)
Answer by Fombitz(32388) About Me  (Show Source):
You can put this solution on YOUR website!
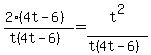
Use the common denominator, t%284t-6%29.
%282%284t-6%29%29%2F%28t%284t-6%29%29=t%5E2%2F%28t%284t-6%29%29
%282%284t-6%29-t%5E2%29%2F%28t%284t-6%29%29=0
%28%288t-12%29-t%5E2%29%2F%28t%284t-6%29%29=0
%28-t%5E2%2B8t-12%29%2F%28t%284t-6%29%29=0
-%28t%5E2-8t%2B12%29%2F%28t%284t-6%29%29=0
%28%28t-2%29%28t-6%29%29%2F%28t%284t-6%29%29=0
Th expression can only equal zero where the numerator equals zero.
%28t-2%29%28t-6%29=0
Two solutions:
t-2=0
highlight%28t=2%29
.
.
.
t-6=0
highlight%28t=6%29