SOLUTION: Determine whether (2,7) is a solution of 6x+9y=20. Is (2,7) a solution of the equation? Please advise. Find the indicated outputs for f(x) =4x^-4x. f=(0), f=(-1), and f=(2). Thank

Algebra ->  Coordinate Systems and Linear Equations  -> Lessons -> SOLUTION: Determine whether (2,7) is a solution of 6x+9y=20. Is (2,7) a solution of the equation? Please advise. Find the indicated outputs for f(x) =4x^-4x. f=(0), f=(-1), and f=(2). Thank       Log On


   



Question 311066: Determine whether (2,7) is a solution of 6x+9y=20. Is (2,7) a solution of the equation? Please advise. Find the indicated outputs for f(x) =4x^-4x. f=(0), f=(-1), and f=(2). Thank you.
Found 3 solutions by Fombitz, JBarnum, stanbon:
Answer by Fombitz(32388) About Me  (Show Source):
You can put this solution on YOUR website!
Plug it in and find out.
6x%2B9y=20
6%282%29%2B9%287%29=20
12%2B63=20
75=20
That's obviously false, hence (2,7) is not a solution.
.
.
.
f%28x%29=4x%5E%28-4x%29
f%280%29=4%280%5E%280%29%29=4%281%29=4
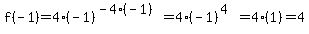
f%28-1%29=4%28-1%29%5E%28-4%28-1%29%29=4%28-1%29%5E%284%29=4%281%29=4
f%282%29=4%282%29%5E%28-4%282%29%29=4%282%29%5E%28-8%29=4%2F256=1%2F64

Answer by JBarnum(2146) About Me  (Show Source):
You can put this solution on YOUR website!
plug in the point
6(2)+9(7)=20
12+63=20
75=20
nope doesnt work
4x-4x=0 so doesnt matter what x is the equation will = 0

Answer by stanbon(75887) About Me  (Show Source):
You can put this solution on YOUR website!
Determine whether (2,7) is a solution of 6x+9y=20. Is (2,7) a solution of the equation? Please advise.
Substitute x = 2 and y = 7 to see if you get a true statement:
6*2 + 9*7 = 20
12 + 63 = 20
75 = 20
---
Not true; so (2,7) is not a solution of the equation.
=======================================================
Find the indicated outputs for f(x) =4x^2-4x.
f(0) = 4*0 -4*0 = 0
-----------------------------
f(-1)= 4(-1)^2 - 4(-1) = 4 +4 = 8
-----------------------------
f(2)= 4(2^2) -4*2 = 4*4 - 4*2 = 8
-----------------------------
Thank you.
-----------------------------------
Cheers,
Stan H.