SOLUTION: I'm lost on these two problems. I have a test for a job tonight and need help to figure these out. Please help! and r^2-5r-6/r+1=?

Algebra ->  Coordinate Systems and Linear Equations  -> Lessons -> SOLUTION: I'm lost on these two problems. I have a test for a job tonight and need help to figure these out. Please help! and r^2-5r-6/r+1=?       Log On


   



Question 29028: I'm lost on these two problems. I have a test for a job tonight and need help to figure these out. Please help!

and r^2-5r-6/r+1=?

Mike

Found 2 solutions by Earlsdon, Nate:
Answer by Earlsdon(6294) About Me  (Show Source):
You can put this solution on YOUR website!
Well, good luck on your test tonight, but your first question is missing something!
1) x%5E2-10x%2B35 = ?
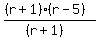
2) %28r%5E2-5r-6%29%2F%28%28r%2B1%29%29 Factor the numerator.
%28%28r%2B1%29%28r-5%29%29%2F%28%28r%2B1%29%29 Cancel the common factor (r+1) and you are left with:
r-5

Answer by Nate(3500) About Me  (Show Source):
You can put this solution on YOUR website!
r^2-5r-6/r+1=?
((r-6)(r+1))/(r+1)=?
(r-6)=?
If the question mark was zero, then the answer would be 6!
x^2-10x+35=?
x^2-10x=-35 --minus 35
(x-5)^2=-10 --take x minus half of the negative 10
(x-5)=i(10)^(1/2) --sqaure root the whole equation
or
(x-5)=-i(10)^(1/2) --sqaure root the whole equation
The answer is:
x=5+(10^(1/2)
or
x=5-(10^(1/2)
....(these are the answer if ? was equal to zero)