SOLUTION: 3/4=1-3x-2/x+1 really means 3/4 = 1 - (3x-2)/(x+1) ?

Algebra ->  Coordinate Systems and Linear Equations  -> Lessons -> SOLUTION: 3/4=1-3x-2/x+1 really means 3/4 = 1 - (3x-2)/(x+1) ?      Log On


   



Question 206014: 3/4=1-3x-2/x+1
really means 3/4 = 1 - (3x-2)/(x+1) ?

Answer by mickclns(59) About Me  (Show Source):
You can put this solution on YOUR website!
Notice the edited version of your question. PLEASE, ALL QUESTIONERS TAKE NOTE: when a fraction is in vertical form, the horizontal division line acts as a grouping operator -- that means: WHEN YOU CONVERT IT INTO HORIZONTAL FORM YOU ***MUST*** USE PARENTHESES TO HAVE IT CONTINUE TO MEAN THE SAME THING.
 
So, first, the solution to what your question means as written:
+3%2F4=1-3x-2%2Fx%2B1+ subtract 2 from both sides
+-5%2F4=-3x-2%2Fx+     multiply both sides by 4x to get rid of the fractions
+-5x=-12x%5E2-8+      add 12x%5E2%2B8 to both sides
+12x%5E2-5x%2B8+=+0+
To see whether this factors, look at the discriminant (what's under the square root in the quadratic formula)
b%5E2+-+4ac+=%28-5%29%5E2+-+4%2812%29%288%29+=+25+-+384+=+-359 Since this number is negative, this quadratic expression is not factorable (the discriminant must be a perfect square for the quadratic to be factorable).
 
Using the quadratic formula, then,
+ax%5E2+%2B+bx+%2B+c+=+0+ --> x+=+%28-b+%2B-+sqrt%28+b%5E2-4%2Aa%2Ac+%29%29%2F%282%2Aa%29+
+12x%5E2-5x%2B8+=+0+, a = 12, b=-5, c = 8 (notice you can only use this when one side is 0)
x+=+%28-%2812%29+%2B-+sqrt%28+-359+%29%29%2F%282%2A%2812%29%29+
+x+=+%28-12+%2B-+i%2Asqrt%28+359+%29%29%2F24+, which, since 359 is prime is as simple as it gets.
 
 
 
 
 
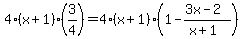
OK, now what the problem was probably intended to be (correct me if I'm wrong, I'm not at all certain):
 
3%2F4+=+1+-+%283x-2%29%2F%28x%2B1%29+ To get rid of fractions, multiply both sides by 4(x+1)
+4%28x%2B1%29%283%2F4%29+=+4%28x%2B1%29%281+-+%283x-2%29%2F%28x%2B1%29%29+ quick simplification of each side ( on right side 4(x-1) is multiplied by both terms)
+3%28x%2B1%29+=+4%28x%2B1%29+-+4%283x-2%29+ next step of simplification: multiplying out
+3x+%2B+3+=+4x+%2B+4+-+12x+%2B+8%29+   to get x's and constants on opposite sides, add 8x - 3 to both sides
+11x+=+9+ so +x+=+9%2F11+