SOLUTION: fing a number such that 4 less than two-thirds the number is equal to one-sixth the number
Algebra
->
Coordinate Systems and Linear Equations
->
Lessons
-> SOLUTION: fing a number such that 4 less than two-thirds the number is equal to one-sixth the number
Log On
Linear Solvers
Linear
Practice
Practice
Answers archive
Answers
Word Problems
Word
Lessons
Lessons
In depth
In
Click here to see ALL problems on Linear-systems
Question 182539
:
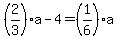
fing a number such that 4 less than two-thirds the number is equal to one-sixth the number
Answer by
Mathtut(3670)
(
Show Source
):
You can
put this solution on YOUR website!
fing a number such that 4 less than two-thirds the number is equal to one-sixth the number
:
let the number be a
:
:
multiplied all terms by 6 to eliminate fractions
:
: