SOLUTION: Solve by the substitution method. 7x=4y= -16 -9x+y = 39 What is the solution of the system?

Algebra ->  Coordinate Systems and Linear Equations  -> Lessons -> SOLUTION: Solve by the substitution method. 7x=4y= -16 -9x+y = 39 What is the solution of the system?      Log On


   



Question 161096: Solve by the substitution method.
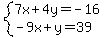
7x=4y= -16
-9x+y = 39
What is the solution of the system?

Answer by jim_thompson5910(35256) About Me  (Show Source):
You can put this solution on YOUR website!


Start with the given system of equations:

system%287x%2B4y=-16%2C-9x%2By=39%29



Now in order to solve this system by using substitution, we need to solve (or isolate) one variable. I'm going to solve for y.




So let's isolate y in the first equation

7x%2B4y=-16 Start with the first equation


4y=-16-7x Subtract 7x from both sides


4y=-7x-16 Rearrange the equation


y=%28-7x-16%29%2F%284%29 Divide both sides by 4


y=%28%28-7%29%2F%284%29%29x%2B%28-16%29%2F%284%29 Break up the fraction


y=%28-7%2F4%29x-4 Reduce



---------------------

Since y=%28-7%2F4%29x-4, we can now replace each y in the second equation with %28-7%2F4%29x-4 to solve for x



-9x%2Bhighlight%28%28%28-7%2F4%29x-4%29%29=39 Plug in y=%28-7%2F4%29x-4 into the second equation. In other words, replace each y with %28-7%2F4%29x-4. Notice we've eliminated the y variables. So we now have a simple equation with one unknown.



%284%29%28-9x-%287%2F4%29x-4%29=%284%29%2839%29 Multiply both sides by the LCM of 4. This will eliminate the fractions (note: if you need help with finding the LCM, check out this solver)



-36x-7x-16=156 Distribute and multiply the LCM to each side



-43x-16=156 Combine like terms on the left side


-43x=156%2B16Add 16 to both sides


-43x=172 Combine like terms on the right side


x=%28172%29%2F%28-43%29 Divide both sides by -43 to isolate x



x=-4 Divide





-----------------First Answer------------------------------


So the first part of our answer is: x=-4









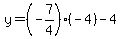
Since we know that x=-4 we can plug it into the equation y=%28-7%2F4%29x-4 (remember we previously solved for y in the first equation).



y=%28-7%2F4%29x-4 Start with the equation where y was previously isolated.


y=%28-7%2F4%29%28-4%29-4 Plug in x=-4


y=28%2F4-4 Multiply


y=3 Combine like terms and reduce. (note: if you need help with fractions, check out this solver)



-----------------Second Answer------------------------------


So the second part of our answer is: y=3









-----------------Summary------------------------------

So our answers are:

x=-4 and y=3

which form the point








Now let's graph the two equations (if you need help with graphing, check out this solver)


From the graph, we can see that the two equations intersect at . This visually verifies our answer.




graph of 7x%2B4y=-16 (red) and -9x%2By=39 (green) and the intersection of the lines (blue circle).