SOLUTION: 5 4 1 Solve the following literal equation for y. ___ - ____ = ___ a y b

Algebra ->  Coordinate Systems and Linear Equations  -> Lessons -> SOLUTION: 5 4 1 Solve the following literal equation for y. ___ - ____ = ___ a y b      Log On


   



Question 148379: 5 4 1 Solve the following literal equation for y.
___ - ____ = ___
a y b

Found 2 solutions by mangopeeler07, stanbon:
Answer by mangopeeler07(462) About Me  (Show Source):
You can put this solution on YOUR website!
Start with
%285%2Fa%29-%284%2Fy%29=1%2Fb

Subtract 5/a from both sides and get
-%284%2Fy%29=%281%2Fb%29-%285%2Fa%29

Multiply everything by y
-4=%28y%2Fb%29-%285y%2Fa%29

Multiply everything by y again
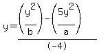
-4y=%28y%5E2%2Fb%29-%285y%5E2%2Fa%29

Divide everything by -4
y=%28%28y%5E2%2Fb%29-%285y%5E2%2Fa%29%29%2F-4

Answer by stanbon(75887) About Me  (Show Source):
You can put this solution on YOUR website!
5 4 1 Solve the following literal equation for y.
___ - ____ = ___
a y b
------------------------------------------
Multiply thru by aby to get:
5by - 4ab = ay
5by-ay = 4ab
y(5b-a) = 4ab
y = (4ab)/(5b-a)
==================
Cheers,
Stan H.