SOLUTION: The network of currents i₁, i₂, i₃ are related in the following equations: z₁i₁ + z₃i₃ = V z₂i₂ - z₃i₃ = 0 i₁ - i₂ - i₃= 0 Determine an expression

Algebra ->  Coordinate Systems and Linear Equations  -> Lessons -> SOLUTION: The network of currents i₁, i₂, i₃ are related in the following equations: z₁i₁ + z₃i₃ = V z₂i₂ - z₃i₃ = 0 i₁ - i₂ - i₃= 0 Determine an expression       Log On


   



Question 1202978: The network of currents i₁, i₂, i₃ are related in the following equations:
z₁i₁ + z₃i₃ = V
z₂i₂ - z₃i₃ = 0
i₁ - i₂ - i₃= 0
Determine an expression for i₁, i₂, i₃ in terms of z₁, z₂, z₃ and V using method of the Cramer's rule.

Answer by Edwin McCravy(20056) About Me  (Show Source):
You can put this solution on YOUR website!


Line up the i's with like subscripts vertically:



Make the denominator determinant D, whose elements are all
the coefficients of the i's on the left of the equal signs:

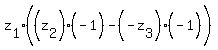
%22%22=%22%22z%5B1%5Dabs%28matrix%282%2C2%2Cz%5B2%5D%2C-z%5B3%5D%2C-1%2C-1%29%29%22%22-%22%220%2Aabs%28matrix%282%2C2%2C0%2C-z%5B3%5D%2C1%2C-1%29%29%22%22%2B%22%22z%5B3%5Dabs%28matrix%282%2C2%2C0%2Cz%5B2%5D%2C1%2C-1%29%29%22%22=%22%22%22%22-%22%220%22%22%2B%22%22z%5B3%5D%2A%28%280%5E%22%22%29%28-1%5E%22%22%29-%28z%5B2%5D%29%281%5E%22%22%29%5E%22%22%29%22%22=%22%22

z%5B1%5D%28-z%5B2%5D-z%5B3%5D%29%2Bz%5B3%5D%280-z%5B2%5D%29%22%22=%22%22-z%5B1%5Dz%5B2%5D-z%5B1%5Dz%5B3%5D-z%5B3%5Dz%5B2%5D%29

Now we make the numerator determinants.
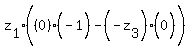
The numerator determinant for the 1st variable Di1 is formed by
replacing the 1st column of the denominator determinant D by the numbers on the
right of the equal signs:

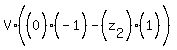
%22%22=%22%22V%2Aabs%28matrix%282%2C2%2Cz%5B2%5D%2C-z%5B3%5D%2C-1%2C-1%29%29%22%22-%22%220%2Aabs%28matrix%282%2C2%2C0%2C-z%5B3%5D%2C0%2C-1%29%29%22%22%2B%22%22z%5B3%5Dabs%28matrix%282%2C2%2C0%2Cz%5B2%5D%2C0%2C-1%29%29%22%22=%22%22V%2A%28%28z%5B2%5D%29%28-1%5E%22%22%29%5E%22%22-%28-z%5B3%5D%29%28-1%5E%22%22%29%5E%22%22%29%22%22-%22%220%22%22%2B%22%22z%5B3%5D%2A%28%280%5E%22%22%29%28-1%5E%22%22%29-%28z%5B2%5D%29%280%5E%22%22%29%5E%22%22%29%22%22=%22%22

V%28-z%5B2%5D-z%5B3%5D%29%2Bz%5B3%5D%280-0%29%22%22=%22%22-V%2A%28z%5B2%5D%2Bz%5B3%5D%29

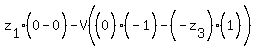
The numerator determinant for the 2nd variable Di2 is formed by
replacing the 2nd column of the denominator determinant D by the numbers on the
right of the equal signs:

%22%22=%22%22z%5B1%5D%2Aabs%28matrix%282%2C2%2C0%2C-z%5B3%5D%2C0%2C-1%29%29%22%22-%22%22V%2Aabs%28matrix%282%2C2%2C0%2C-z%5B3%5D%2C1%2C-1%29%29%22%22%2B%22%22z%5B3%5Dabs%28matrix%282%2C2%2C0%2C0%2C1%2C0%29%29%22%22=%22%22z%5B1%5D%2A%28%280%29%28-1%5E%22%22%29%5E%22%22-%28-z%5B3%5D%29%280%5E%22%22%29%5E%22%22%29%22%22-%22%220%22%22%2B%22%22z%5B3%5D%2A%28%280%5E%22%22%29%280%5E%22%22%29-%280%29%281%5E%22%22%29%5E%22%22%29%22%22=%22%22

%22%22=%22%22-V%2A%28z%5B3%5D%29

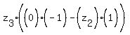
The numerator determinant for the 3rd variable Di3 is formed by
replacing the 3rdd column of the denominator determinant D by the numbers on the
right of the equal signs:

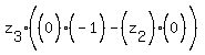
%22%22=%22%22z%5B1%5Dabs%28matrix%282%2C2%2Cz%5B2%5D%2C-0%2C-1%2C0%29%29%22%22-%22%220%2Aabs%28matrix%282%2C2%2C0%2C0%2C1%2C0%29%29%22%22%2B%22%22V%2Aabs%28matrix%282%2C2%2C0%2Cz%5B2%5D%2C1%2C-1%29%29%22%22=%22%22z%5B1%5D%2A%28%28z%5B2%5D%29%280%5E%22%22%29%5E%22%22-%280%29%28-1%5E%22%22%29%5E%22%22%29%22%22-%22%220%22%22%2B%22%22V%2A%28%280%5E%22%22%29%28-1%5E%22%22%29-%28z%5B2%5D%29%281%5E%22%22%29%5E%22%22%29%22%22=%22%22

z%5B1%5D%280%5E%22%22-0%29%2BV%280-z%5B2%5D%29%22%22=%22%22-Vz%5B2%5D%29

Finally, we put the numerators over the same denominator D:

i%5B1%5D%22%22=%22%22D%5Bi1%5D%2FD%5E%22%22%22%22=%22%22%22%22=%22%22

i%5B2%5D%22%22=%22%22D%5Bi2%5D%2FD%5E%22%22%22%22=%22%22%28-V%2Az%5B3%5D%29%2F%28-z%5B1%5Dz%5B2%5D-z%5B1%5Dz%5B3%5D-z%5B3%5Dz%5B2%5D%29%22%22=%22%22%28V%2Az%5B3%5D%29%2F%28z%5B1%5Dz%5B2%5D%2Bz%5B1%5Dz%5B3%5D%2Bz%5B3%5Dz%5B2%5D%29

i%5B3%5D%22%22=%22%22D%5Bi3%5D%2FD%5E%22%22%22%22=%22%22%28-V%2Az%5B2%5D%29%2F%28-z%5B1%5Dz%5B2%5D-z%5B1%5Dz%5B3%5D-z%5B3%5Dz%5B2%5D%29%22%22=%22%22%28V%2Az%5B2%5D%29%2F%28z%5B1%5Dz%5B2%5D%2Bz%5B1%5Dz%5B3%5D%2Bz%5B3%5Dz%5B2%5D%29

Edwin