SOLUTION: Use two equations in two variables to solve the application. See Example 3. (Objective 1) A 60-meter path surrounds a rectangular garden. The width of the garden is two-thirds its

Algebra ->  Coordinate Systems and Linear Equations  -> Lessons -> SOLUTION: Use two equations in two variables to solve the application. See Example 3. (Objective 1) A 60-meter path surrounds a rectangular garden. The width of the garden is two-thirds its      Log On


   



Question 1164987: Use two equations in two variables to solve the application. See Example 3. (Objective 1)
A 60-meter path surrounds a rectangular garden. The width of the garden is two-thirds its length. Find its area (in m2).

Found 2 solutions by ikleyn, josgarithmetic:
Answer by ikleyn(52788) About Me  (Show Source):
You can put this solution on YOUR website!
.

I can not see Example 3 (Objective 1)

and do not understand for WHAT REASON this instruction (?) is included to the post.



Answer by josgarithmetic(39618) About Me  (Show Source):
You can put this solution on YOUR website!
The area of the GARDEN?

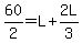
L, the garden's length
2L/3, the width of garden

60%2F2=L%2B2L%2F3--------this is based on perimeter and the description of dimensions.
-
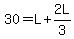
30=L%2B2L%2F3
90=3L%2B2L
5L=90
highlight_green%28L=18%29---------length of garden
-
2L%2F3=%282%2F3%29%2A18=highlight_green%2812%29--------width of garden

Garden's area, 12%2A18%2Ameter%2Ameter=highlight%28216%2Am%5E2%29