SOLUTION: A rectangle’s length is 1 feet shorter than three times its width. The rectangle’s perimeter is 238 feet. Find the rectangle’s length and width

Algebra ->  Coordinate Systems and Linear Equations  -> Lessons -> SOLUTION: A rectangle’s length is 1 feet shorter than three times its width. The rectangle’s perimeter is 238 feet. Find the rectangle’s length and width      Log On


   



Question 1157598: A rectangle’s length is 1 feet shorter than three times its width. The rectangle’s perimeter is 238 feet. Find the rectangle’s length and width
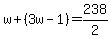
Answer by josgarithmetic(39617) About Me  (Show Source):