SOLUTION: Is there a section for tips for linear systems with 3 variables? I found the solver for 2 variables and 2 equations but I could not find one for 3 variables and 3 equations z=t

Algebra ->  Coordinate Systems and Linear Equations  -> Lessons -> SOLUTION: Is there a section for tips for linear systems with 3 variables? I found the solver for 2 variables and 2 equations but I could not find one for 3 variables and 3 equations z=t       Log On


   



Question 1153199: Is there a section for tips for linear systems with 3 variables? I found the solver for 2 variables and 2 equations but I could not find one for 3 variables and 3 equations
z=t - Solve systems using elimination
2x+y-3z=1
x-2y-z=3
x+8y-3z=-7
How would the answer be different t=z? What does t mean/represent? Thanks

Answer by MathLover1(20850) About Me  (Show Source):
You can put this solution on YOUR website!

this calculator is really good:
https://www.mathportal.org/calculators/system-of-equations-solver/system-3x3.php

2x%2By-3z=1.......1)
x-2y-z=3.......2)
x%2B8y-3z=-7.......3)
--------------------

x-2y-z=3.......2)
x%2B8y-3z=-7.......3)
-------------------------subtract
x-2y-z-%28x%2B8y-3z%29=3-%28-7%29
cross%28x%29-2y-z-cross%28x%29-8y%2B3z=3%2B7
-10y%2B2z=10
2z=10y%2B10
10y=2z-10
y=z%2F5-1.......................1a)


2x%2By-3z=1.......1)...........substitute y
2x%2Bz%2F5-1-3z=1
2x%2Bz%2F5-15z%2F5=1%2B1
2x-14z%2F5=2
2x=14z%2F5%2B2
x=7z%2F5%2B1..................1b)


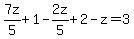
x-2y-z=3.......2)....substitute x and y
7z%2F5%2B1-2%28z%2F5-1%29-z=3
7z%2F5%2B1-2z%2F5%2B2-z=3
5z%2F5-z=3-1-2
z-z=3-3
0=0-> is always true; so the system has infinitely+many solutions
The solutions to the system of equations are: x=7z%2F5%2B1, y=z%2F5-1