Question 1141404: The manager of an apartment complex is also a tenant. He pays only three-fourths of the monthly rent that each of the remaining 7 tenants pays. Each month, a total of $6,200 in rent is paid by the 8 occupants. How much rent does the manager pay?
Write a system of two equations in two variables to solve the problem.
A law firm hired several workers to help finish a large project. From the following billing records, determine the daily fee charged by the employment agency for a clerk-typist and for a computer programmer. (Assume a = 702 and b = 1000.)
Write a system of two equations in two variables to solve the problem.
How many pounds of each candy shown must be mixed to obtain 100 pounds of candy that would be worth $4.40 per pound? gummy bears $3.50 lb and jelly beans $5.50 lb
Answer by josgarithmetic(39618) (Show Source):
You can put this solution on YOUR website! ---------------
The manager of an apartment complex is also a tenant. He pays only three-fourths of the monthly rent that each of the remaining 7 tenants pays. Each month, a total of $6,200 in rent is paid by the 8 occupants. How much rent does the manager pay?
Write a system of two equations in two variables to solve the problem.
-------------------
x, what a tenant pays
(3/4)x, the amount manager pays as tenant
..
.
ALTERNATIVE WAY:
w, what manager pays as tenant
(4/3)w, what the other tenants pay

SOLVE THIS FOR w.
That is what the manager pays.
--

---
THE TWO OTHER QUESTIONS:
------------------------------
A law firm hired several workers to help finish a large project. From the following billing records, determine the daily fee charged by the employment agency for a clerk-typist and for a computer programmer. (Assume a = 702 and b = 1000.)
----------------------------
The description is incomplete so cannot be answered in any way.
--------------------------
Write a system of two equations in two variables to solve the problem.
How many pounds of each candy shown must be mixed to obtain 100 pounds of candy that would be worth $4.40 per pound? gummy bears $3.50 lb and jelly beans $5.50 lb
----------------------------
Standard two-part mixture problem. There are many lessons on it in many sources both online and offline.
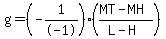
g, Gummybears
j, Jellybeans
M, 100 pounds of mixture
L, 3.5 dollars per pound, price of gummy bears
H, 5.5 dollars per pound, price of jelly beans
T, 4.4 dollars per pound, the target price for the mixture
--------Your system of equations in two variables. If using purely in symbols, you can use substitution method to solve for each variable g and j.

-



-

-




-
|
|
|