Question 1129199: Solve the system of equations:
Y=2x^2+3
Y=x+2
Enter one point as (x,y)
Enter two points as (x,y),(x,y)
Enter"no solution" as DNE.
Found 3 solutions by josgarithmetic, MathTherapy, ikleyn: Answer by josgarithmetic(39617) (Show Source): Answer by MathTherapy(10552) (Show Source):
You can put this solution on YOUR website! Solve the system of equations:
Y=2x^2+3
Y=x+2
Enter one point as (x,y)
Enter two points as (x,y),(x,y)
Enter"no solution" as DNE.
There are solutions, but these are NOT THEY!


points: ( -1/2, 3/2 ), ( 1, 3 )
So, AGAIN, wait for someone who knows what they're doing to give you sensible, correct answers.
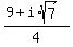
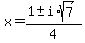
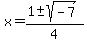
HINT: Correct answers are NON-REAL (IMAGINARY).
Answer by ikleyn(52787) (Show Source):
|
|
|