SOLUTION: Use any method to solve the nonlinear system. (Order your answers from smallest to largest x, then from smallest to largest y. If there is no solution, enter NO SOLUTION.) x^2

Algebra ->  Coordinate Systems and Linear Equations  -> Lessons -> SOLUTION: Use any method to solve the nonlinear system. (Order your answers from smallest to largest x, then from smallest to largest y. If there is no solution, enter NO SOLUTION.) x^2       Log On


   



Question 1129186: Use any method to solve the nonlinear system. (Order your answers from smallest to largest x, then from smallest to largest y. If there is no solution, enter NO SOLUTION.)
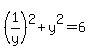
x^2 + y^2= 6
xy= 1
Can someone help, I use the method of and my final answers, which keeps being tagged incorrect, have been:
x: +sqrt%282+%29+ -1, y: +sqrt%28+2+%29+ +1
x: - +sqrt%282+%29+ +1, y: - +sqrt%28+2+%29+ -1
x: +sqrt%282+%29+ +1, y: +sqrt%28+2+%29+-1
x: - +sqrt%282+%29+ -1, y: - +sqrt%28+2+%29+ +1
Am I just incorrectly ordering them from smallest to least or are the entire answers wrong?
Here is some of my work:
For x^2 + y^2= 6, substitute x with 1/y.
(1/y)^2 +y^2= 6;
For xy=1, substitute y with +sqrt%282+%29+ +1
x(+sqrt%282+%29+ +1 )=1
x= +sqrt%282+%29+ -1
For xy=1, substitute y with +sqrt%282+%29+ -1
x(+sqrt%282+%29+ -1 )=1
x= +sqrt%282+%29+ +1
For xy=1, substitute y with -+sqrt%282+%29+ +1
x(-+sqrt%282+%29+ +1 )=1
x= -+sqrt%282+%29+ -1



Found 3 solutions by josgarithmetic, MathLover1, ikleyn:
Answer by josgarithmetic(39618) About Me  (Show Source):
Answer by MathLover1(20850) About Me  (Show Source):
You can put this solution on YOUR website!

x%5E2+%2B+y%5E2=+6........eq.1
xy=+1 ........eq.2
-----------------------
xy=+1 ........eq.2=> x=1%2Fy
substitute in eq.1

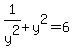
%281%2Fy%29%5E2+%2B+y%5E2=+6........eq.1
1%2Fy%5E2+%2B+y%5E2=+6...multiply by y%5E2
1+%2B+y%5E4=+6y%5E2
+y%5E4-+6y%5E2%2B1=0...factor
%28y%5E2+-+2+y+-+1%29+%28y%5E2+%2B+2+y+-+1%29=0

solutions: there will be four

if %28y%5E2+-+2+y+-+1%29+=0

y+=+%28-%28-2%29+%2B-+sqrt%28+%28-2%29%5E2-4%2A1%2A%28-1%29+%29%29%2F%282%2A1%29+
y+=+%282+%2B-+sqrt%28+4%2B4%29%29%2F2+
y+=+%282+%2B-+sqrt%28+2%2A4%29%29%2F2+
y+=+%282+%2B-+2sqrt%28+2%29%29%2F2+...simplify
y+=+%281+%2B-+sqrt%28+2%29%29+

so, highlight%28y+%5B1%5D=+1+%2B+sqrt%28+2%29%29+ or highlight%28y%5B2%5D+=+1+-+sqrt%28+2%29%29+%29


if+%28y%5E2+%2B+2+y+-+1%29=0

y+=+%28-2+%2B-+sqrt%28+2%5E2-4%2A1%2A%28-1%29+%29%29%2F%282%2A1%29+
y+=+%28-2+%2B-+sqrt%28+4%2B4+%29%29%2F2+
y+=+%28-2+%2B-+2sqrt%282+%29%29%2F2+
y+=+%28-1+%2B-+sqrt%282+%29%29+

highlight%28y%5B3%5D+=+-1+%2B+sqrt%282+%29+%29 or highlight%28y%5B4%5D+=+-1+-+sqrt%282+%29+%29



now find x using all 4 solutions for y

if y+%5B1%5D=+1+%2B+sqrt%28+2%29+, since x=1%2Fy we have


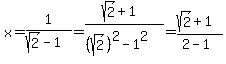
highlight%28x%5B1%5D=sqrt%282%29+-+1%29+%29

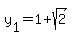
if y+%5B2%5D=+1+-+sqrt%28+2%29+

highlight%28x%5B2%5D=+-+1-sqrt%282%29%29+

if y%5B3%5D+=+-1+%2B+sqrt%282+%29=+sqrt%282+%29-1

highlight%28x%5B3%5D=sqrt%28+2%29%2B1%29


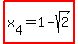
if y%5B4%5D+=+-1+-+sqrt%282+%29+

highlight%28x%5B4%5D=1-sqrt%282+%29%29




Answer by ikleyn(52788) About Me  (Show Source):
You can put this solution on YOUR website!
.
Your solutions are correct. I mean, you have the set of four solutions correctly.


Their ordering instruction is presented in a very strange way.


You can order the pairs looking in x first, but then you have no choice to order in y.


It forces me to think that they ask you to make your ordering TWICE:


    - first time by ordering 4 pairs looking in x;  

    - and the second time by ordering the same 4 pairs looking in y.

In any way, it is not a Mathematical way to formulate an assignment.

----------------

The two other tutors presented the solutions to the roots, although nobody asked them to do it - you just have the solutions correctly.


The post by @josgarithmetic is the way to NOWHERE, as it often happens with him - so you can simply IGNORE his post, for your safety.