SOLUTION: how do i solve -6x(x+1)+4=16

Algebra ->  Coordinate Systems and Linear Equations  -> Lessons -> SOLUTION: how do i solve -6x(x+1)+4=16      Log On


   



Question 110267: how do i solve -6x(x+1)+4=16
Answer by ptaylor(2198) About Me  (Show Source):
You can put this solution on YOUR website!
-6x(x+1)+4=16 first, get rid of parens (distributive law)
-6x^2-6x+4=16 next, subtreact 16 from both sides
-6x^2-6x+4-16=16-16 Now, collect like terms
-6x^2-6x-12=0 divide each term by -6
x^2+x+2=0-------------------quadratic in standard form
We'll solve using the quadratic formula:
x+=+%28-b+%2B-+sqrt%28+b%5E2-4%2Aa%2Ac+%29%29%2F%282%2Aa%29+
x+=+%28-1+%2B-+sqrt%28+1%5E2-4%2A1%2A2+%29%29%2F%282%2A1%29+
x+=+%28-1+%2B-+sqrt%28+1-8+%29%29%2F%282%29+
x+=+%28-1+%2B-+sqrt%28-7+%29%29%2F%282%29+
x+=+%28-1+%2B-+sqrt%28%28-1%29%287+%29%29%29%2F%282%29+
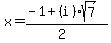
x+=+%28-1+%2B-+%28i%29sqrt%287+%29%29%2F%282%29+. So:
x+=+%28-1+%2B+%28i%29sqrt%287+%29%29%2F%282%29+
and
x+=+%28-1+-+%28i%29sqrt%287+%29%29%2F%282%29+.


Hope this helps----ptaylor