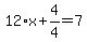
Start with the first equation
Multiply both sides by the LCD 4
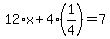
Distribute and simplify
------------------------------------------
Lets start with the given system of linear equations


In order to solve for one variable, we must eliminate the other variable. So if we wanted to solve for y, we would have to eliminate x (or vice versa).
So lets eliminate x. In order to do that, we need to have both x coefficients that are equal but have opposite signs (for instance 2 and -2 are equal but have opposite signs). This way they will add to zero.
So to make the x coefficients equal but opposite, we need to multiply both x coefficients by some number to get them to an equal number. So if we wanted to get 12 and 2 to some equal number, we could try to get them to the LCM.
Since the LCM of 12 and 2 is 12, we need to multiply both sides of the top equation by 1 and multiply both sides of the bottom equation by -6 like this:
Multiply the top equation (both sides) by 1
Multiply the bottom equation (both sides) by -6
So after multiplying we get this:


Notice how 12 and -12 add to zero (ie )
Now add the equations together. In order to add 2 equations, group like terms and combine them


Notice the x coefficients add to zero and cancel out. This means we've eliminated x altogether.
So after adding and canceling out the x terms we're left with:

Divide both sides by to solve for y
Reduce
Now plug this answer into the top equation to solve for x
Plug in 
Multiply
Reduce
Subtract from both sides
Combine the terms on the right side
Multiply both sides by . This will cancel out on the left side.
Multiply the terms on the right side
So our answer is
, 
which also looks like
( , )
Notice if we graph the equations (if you need help with graphing, check out this solver)


we get
graph of (red) (green) (hint: you may have to solve for y to graph these) and the intersection of the lines (blue circle).
and we can see that the two equations intersect at ( , ). This verifies our answer. |