SOLUTION: Please help me here. Ax+By=C Dx+Ey=F Solve the system for x and y I got x=C-By/A y= (AF-CD)/(AE-BD) Not sure if I am right. Thank you.

Algebra ->  Coordinate Systems and Linear Equations  -> Lessons -> SOLUTION: Please help me here. Ax+By=C Dx+Ey=F Solve the system for x and y I got x=C-By/A y= (AF-CD)/(AE-BD) Not sure if I am right. Thank you.       Log On


   



Question 1090975: Please help me here.
Ax+By=C
Dx+Ey=F
Solve the system for x and y
I got x=C-By/A
y= (AF-CD)/(AE-BD)
Not sure if I am right.
Thank you.

Found 2 solutions by jim_thompson5910, ikleyn:
Answer by jim_thompson5910(35256) About Me  (Show Source):
You can put this solution on YOUR website!

You can use Cramer's Rule to solve this. Let's define the following

  • P = the matrix %28matrix%282%2C2%2CA%2CB%2CD%2CE%29%29 (notice it's the left hand side coefficients)

  • Px = the matrix %28matrix%282%2C2%2CC%2CB%2CF%2CE%29%29. I started with matrix P and I've replaced the first column with C and F, both of which are the right hand side values

  • Py = the matrix %28matrix%282%2C2%2CA%2CC%2CD%2CF%29%29. I started with matrix P ann replaced the second column with C and F, both of which are the right hand side values


The notation det(P) is the determinant of matrix P. Using the two-by-two matrix determinant rule we can say
det%28P%29+=+A%2AE+-+B%2AD
det%28Px%29+=+C%2AE+-+F%2AB
det%28Px%29+=+A%2AF+-+C%2AD

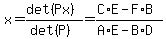
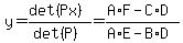
Then you divide the determinants to get x and y

x+=+%28det%28Px%29%29%2F%28det%28P%29%29+=+%28C%2AE+-+F%2AB%29%2F%28A%2AE+-+B%2AD%29

y+=+%28det%28Px%29%29%2F%28det%28P%29%29+=+%28A%2AF+-+C%2AD%29%2F%28A%2AE+-+B%2AD%29

If we knew the values of A,B,C,D,E, and F, then we could compute the actual numeric values of x and y. However, since we don't know those six variables, we just leave it as shown above.

So the final answers are
x+=+%28C%2AE+-+F%2AB%29%2F%28A%2AE+-+B%2AD%29

y+=+%28A%2AF+-+C%2AD%29%2F%28A%2AE+-+B%2AD%29

Answer by ikleyn(52787) About Me  (Show Source):
You can put this solution on YOUR website!
.
On the Cramer's rule on solving systems of 2 linear equations in 2 unknowns see the lesson
    - Solution of the linear system of two equations in two unknowns using determinant
in this site.

Also,  you have this free of charge online textbook in ALGEBRA-I in this site
    - ALGEBRA-I - YOUR ONLINE TEXTBOOK.

The referred lesson is the part of this online textbook under the topic "Systems of two linear equations in two unknowns".


Also, see the lessons
    - What is a matrix?,
    - Determinant of a 2x2-matrix,
    - HOW TO solve system of linear equations in two unknowns using determinant (Cramer's rule),
    - Solving systems of linear equations in two unknowns using the Cramer's rule,
in this site.

The referred lessons are the part of the other online textbook
    - ALGEBRA-II - YOUR ONLINE TEXTBOOK.
under the topic  "2x2-Matrices, determinants, Cramer's rule for systems in two unknowns"