SOLUTION: Square root 3x-5 (-) square root 4-7x =0 Both 3x-5 and 4-7x are in the square root (not separate)

Algebra ->  Coordinate Systems and Linear Equations  -> Lessons -> SOLUTION: Square root 3x-5 (-) square root 4-7x =0 Both 3x-5 and 4-7x are in the square root (not separate)      Log On


   



Question 1087823: Square root 3x-5 (-) square root 4-7x =0
Both 3x-5 and 4-7x are in the square root (not separate)

Found 4 solutions by josgarithmetic, Alan3354, ikleyn, MathTherapy:
Answer by josgarithmetic(39620) About Me  (Show Source):
Answer by Alan3354(69443) About Me  (Show Source):
You can put this solution on YOUR website!
Square root 3x-5 (-) square root 4-7x =0
-------------
sqrt%283x-5%29+=+sqrt%284-7x%29
Square both sides
3x-5 = 4-7x
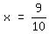
10x = 9
x = 9/10
---------------
Check:
sqrt%283x-5%29+=+sqrt%284-7x%29
sqrt%282.7-5%29+=+sqrt%284-6.3%29
sqrt%28-2.3%29+=+sqrt%28-2.3%29

Answer by ikleyn(52800) About Me  (Show Source):
You can put this solution on YOUR website!
.



Plot y1 = sqrt%283x-5%29 (red) and y2 = sqrt%284-7x%29 (green)


This equation HAS NO solution in real domain.

In real domain the domains of the left side and the right side are disjoint sets of real numbers, so the common solution is IMPOSSIBLE.

The solutions found by other tutors are valid in complex domain only (when you allow to square roots to be complex numbers).




Answer by MathTherapy(10552) About Me  (Show Source):
You can put this solution on YOUR website!

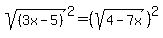
Square root 3x-5 (-) square root 4-7x =0
Both 3x-5 and 4-7x are in the square root (not separate)
matrix%281%2C3%2C+sqrt%283x+-+5%29+-+sqrt%284+-+7x%29%2C+%22=%22%2C+0%29
Solve this equation to get: matrix%281%2C3%2C+x%2C+%22=%22%2C+9%2F10%29
However, as with types of equations like these, YOU MUST CHECK to make sure than the answer SATISFIES the equation.
In this case 9%2F10 DOES NOT, so this is an EXTRANEOUS solution, which means that the equation has highlight_green%28matrix%281%2C2%2C+NO%2C+SOLUTIONS%29%29