SOLUTION: I need help to solve the following for x: {{{ p^2(1-x)-2pqx=q^2(1+x)}}} With working out, please

Algebra ->  Coordinate Systems and Linear Equations  -> Lessons -> SOLUTION: I need help to solve the following for x: {{{ p^2(1-x)-2pqx=q^2(1+x)}}} With working out, please       Log On


   



Question 1066867: I need help to solve the following for x: +p%5E2%281-x%29-2pqx=q%5E2%281%2Bx%29
With working out, please

Found 2 solutions by josgarithmetic, math_helper:
Answer by josgarithmetic(39618) About Me  (Show Source):
You can put this solution on YOUR website!
Simplify and isolate terms of x.

p%5E2-%28p%5E2%29x-2pqx=q%5E2%2B%28q%5E2%29x

p%5E2-%28p%5E2%29x-2pqx-%28q%5E2%29x=q%5E2

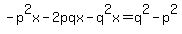
-%28p%5E2%29x-2pqx-%28q%5E2%29x=q%5E2-p%5E2
Multiplication both sides negative 1:
%28p%5E2%29x%2B2pqx%2B%28q%5E2%29x=p%5E2-q%5E2

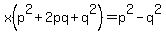
x%28p%5E2%2B2pq%2Bq%5E2%29=p%5E2-q%5E2

x=%28p%5E2-q%5E2%29%2F%28p%5E2%2B2pq%2Bq%5E2%29

Answer by math_helper(2461) About Me  (Show Source):
You can put this solution on YOUR website!
Since we want to solve for 'x', its best to get all the terms involving x onto one side:
+p%5E2%281-x%29-2pqx+=+q%5E2%281%2Bx%29+
++p%5E2+-+p%5E2x+-+2pqx+=+q%5E2%2Bq%5E2x+
Now bring all 'x' related terms to the left, and everything else to the right:
++-p%5E2x+-+2pqx+-+q%5E2x+=+q%5E2+-+p%5E2+
Multiply both sides by -1, this has the effect of changing the left to all +, and swaps the signs on the right:
++p%5E2x+%2B+2pqx+%2B+q%5E2x+=+p%5E2+-+q%5E2+
+++x+%28p%5E2+%2B+2pq+%2B+q%5E2%29+=+p%5E2+-+q%5E2+
++++x+=++%28p%5E2+-+q%5E2%29+%2F+%28p%5E2+%2B+2pq+%2B+q%5E2+%29+
Not done yet, there is further simplification:
Numerator: +p%5E2+-+q%5E2+=+%28p-q%29%28p%2Bq%29+
Denominator: +p%5E2+%2B+2pq+%2B+q%5E2+=+%28p%2Bq%29%5E2+
So ++++x+=++%28%28p-q%29%28p%2Bq%29%29+%2F+%28%28p%2Bq%29%28p%2Bq%29%29+
Canceling a "p+q" from numerator and denominator:
++highlight%28x+=+%28p-q%29%2F%28p%2Bq%29+%29