SOLUTION: Solve using substitution method 2× +7y=9 5×-7y=11

Algebra ->  Coordinate Systems and Linear Equations  -> Lessons -> SOLUTION: Solve using substitution method 2× +7y=9 5×-7y=11      Log On


   



Question 1040473: Solve using substitution method
2× +7y=9
5×-7y=11

Found 2 solutions by josgarithmetic, MathTherapy:
Answer by josgarithmetic(39617) About Me  (Show Source):
You can put this solution on YOUR website!
2× +7y=9
5×-7y=11

A far better way to indicate those multiplications is to separate the numbers to be multiplied into parentheses groupings.

system%282%287y%29=9%2C5%28-7y%29=11%29

But this is two equations in only one variable. y MUST have the same value for both equations:
14y=9
y=9%2F14
-
-35y=11
y=-11%2F35
-
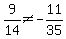
.....but it does not have this same value for both. 9%2F14%3C%3E-11%2F35.

Answer by MathTherapy(10552) About Me  (Show Source):
You can put this solution on YOUR website!

Solve using substitution method
2× +7y=9
5×-7y=11
Why on earth would you want to solve this system using substitution when it can be solved immediately using ELIMINATION? Is that what the question asks? 
If so, highlight_green%28system%28x+=+20%2F7%2C+y+=+23%2F49%29%29