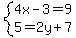
SOLUTION: (4x-3,5)=(9,2y+7) then x+y
Algebra
->
Coordinate Systems and Linear Equations
->
Lessons
-> SOLUTION: (4x-3,5)=(9,2y+7) then x+y
Log On
Linear Solvers
Linear
Practice
Practice
Answers archive
Answers
Word Problems
Word
Lessons
Lessons
In depth
In
Click here to see ALL problems on Linear-systems
Question 1038490
:
(4x-3,5)=(9,2y+7) then x+y
Answer by
josgarithmetic(39618)
(
Show Source
):
You can
put this solution on YOUR website!
The ordered pair are equal and their corresponding coordinates are equal.