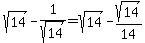
SOLUTION: Rationalise the denominator of √14-1/√14
Algebra
->
Coordinate Systems and Linear Equations
->
Lessons
-> SOLUTION: Rationalise the denominator of √14-1/√14
Log On
Linear Solvers
Linear
Practice
Practice
Answers archive
Answers
Word Problems
Word
Lessons
Lessons
In depth
In
Click here to see ALL problems on Linear-systems
Question 1028536
:
Rationalise the denominator of √14-1/√14
Answer by
Fombitz(32388)
(
Show Source
):
You can
put this solution on YOUR website!