SOLUTION: Find the values of x and y that satisfy 3x − 1 + 2y = 0 and 3x2 - y2 + 4 = 0. Use the algebraic method to find the solution, and then use the graphing method to confirm wheth

Algebra ->  Coordinate Systems and Linear Equations  -> Lessons -> SOLUTION: Find the values of x and y that satisfy 3x − 1 + 2y = 0 and 3x2 - y2 + 4 = 0. Use the algebraic method to find the solution, and then use the graphing method to confirm wheth      Log On


   



Question 1022479: Find the values of x and y that satisfy 3x − 1 + 2y = 0 and 3x2 - y2 + 4 = 0. Use the algebraic method to find the solution, and then use the graphing method to confirm whether the system of equations has real roots.
Answer by Edwin McCravy(20056) About Me  (Show Source):
You can put this solution on YOUR website!
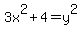
{3x+2y = 1, 3x^2+4 = y^2}
Solve 3x+2y = 1 for y

3x%2B2y+=+1
2y+=+1-3x
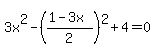
y+=+%281-3x%29%2F2

Substitute in

3x%5E2+-+y%5E2+%2B+4+=+0

3x%5E2+-+%28%281-3x%29%2F2%29%5E2+%2B+4+=+0

3x%5E2+-+%281-3x%29%5E2%2F4+%2B+4+=+0

12x%5E2+-+%281-3x%29%5E2+%2B+16+=+0

12x%5E2+-+%281-6x%2B9x%5E2%29+%2B+16+=+0

12x%5E2+-+1%2B6x-9x%5E2+%2B+16+=+0

3x%5E2%2B6x+%2B+15+=+0

x%5E2%2B2x+%2B+5+=+0

x+=+%28-b+%2B-+sqrt%28+b%5E2-4%2Aa%2Ac+%29%29%2F%282%2Aa%29+

x+=+%28-%282%29+%2B-+sqrt%28+%282%29%5E2-4%2A%281%29%2A%285%29+%29%29%2F%282%2A%281%29%29+

x+=+%28-2+%2B-+sqrt%284-20%29%29%2F2+

x+=+%28-2+%2B-+sqrt%28-16%29%29%2F2+

x+=+%28-2+%2B-+4i%29%2F2+

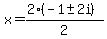
x+=+%282%28-1+%2B-+2i%29%29%2F2+

x+=+%28cross%282%29%28-1+%2B-+2i%29%29%2Fcross%282%29+

x+=+-1+%2B-+2i+

Substitute (-1+2i) in

y+=+%281-3x%29%2F2

y+=+%281-3%28-1+%2B+2i%29%29%2F2

y+=+%281%2B3+-+6i%29%2F2

y+=+%284+-+6i%29%2F2

y+=+%284+-+6i%29%2F2

y+=+%282%282+-+3i%29%29%2F2

y+=+%28cross%282%29%282+-+3i%29%29%2Fcross%282%29

y+=+2+-+3i

One solution is (-1+2i, 2-3i)

Substituting (-1-2i) the same way gives  2+3i

So the other solution is (-1-2i, 2+3i)

These solutions are complex imaginary, so the graphs
should not cross:



And, as we see the black line, which is the graph of
3x%2B2y+=+1, does not cross the red hyperbola, which is
the graph of 3x%5E2%2B4+=+y%5E2  

Edwin