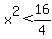
SOLUTION: I need to show the solution for 4x^2-16<0 on a number line and using interval notation. Thanks
Algebra
->
Coordinate Systems and Linear Equations
->
Lessons
-> SOLUTION: I need to show the solution for 4x^2-16<0 on a number line and using interval notation. Thanks
Log On
Linear Solvers
Linear
Practice
Practice
Answers archive
Answers
Word Problems
Word
Lessons
Lessons
In depth
In
Click here to see ALL problems on Linear-systems
Question 1002496
:
I need to show the solution for 4x^2-16<0 on a number line and using interval notation. Thanks
Answer by
MathLover1(20850)
(
Show Source
):
You can
put this solution on YOUR website!
or
interval notation:
(
,
)
number line: