SOLUTION: find the value of x https://fbcdn-sphotos-d-a.akamaihd.net/hphotos-ak-xpt1/v/t34.0-12/12092276_893469867356495_569616557_n.jpg?oh=cdf48ffd0021292a3a2617b7f36bcc5f&oe=5619455E&__

Algebra ->  Coordinate Systems and Linear Equations -> SOLUTION: find the value of x https://fbcdn-sphotos-d-a.akamaihd.net/hphotos-ak-xpt1/v/t34.0-12/12092276_893469867356495_569616557_n.jpg?oh=cdf48ffd0021292a3a2617b7f36bcc5f&oe=5619455E&__      Log On


   



Question 995306: find the value of x
https://fbcdn-sphotos-d-a.akamaihd.net/hphotos-ak-xpt1/v/t34.0-12/12092276_893469867356495_569616557_n.jpg?oh=cdf48ffd0021292a3a2617b7f36bcc5f&oe=5619455E&__gda__=1444502991_ff3b6bf0ae863790389193f5a1dedc0a

Answer by MathLover1(20850) About Me  (Show Source):
You can put this solution on YOUR website!

1.
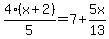
4%28x%2B2%29%2F5=7%2B5x%2F13
4%28x%2B2%29=%287%2B5x%2F13%295
4x%2B8=35%2B25x%2F13
13%2A4x%2B13%2A8=13%2A35%2B13%2825x%2F13%29
52x%2B104=455%2B25x
52x-25x=455-104
27x=351
x=351%2F27
highlight%28x=13%29


2.
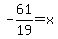
-%28x%2B5%29%2F6-%28x%2B1%29%2F9=%28x%2B3%29%2F4
-3%28x%2B5%29%2F18-2%28x%2B1%29%2F18=%28x%2B3%29%2F4
%28-3x-15-2%28x%2B1%29%29%2F18=%28x%2B3%29%2F4
%28-3x-15-2x-1%29%2F18=%28x%2B3%29%2F4
%28-5x-17%29%2F18=%28x%2B3%29%2F4
4%28-5x-17%29=18%28x%2B3%29
-20x-68=18x%2B54
-54-68=18x%2B20x
-122=38x
-61%2F19=x
or, approximately
x=-3.21