SOLUTION: Solve the following system algebraically 2x^2 - y^2 = 14, x-y = 1

Algebra ->  Coordinate Systems and Linear Equations -> SOLUTION: Solve the following system algebraically 2x^2 - y^2 = 14, x-y = 1      Log On


   



Question 481057: Solve the following system algebraically
2x^2 - y^2 = 14, x-y = 1

Answer by MathLover1(20850) About Me  (Show Source):
You can put this solution on YOUR website!
2x%5E2+-+y%5E2+=+14.....1
x-y+=+1.........2
-----------------------------

x-y+=+1.........2...solve for y
x-1=+y....substitute it in 1

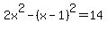
2x%5E2+-+%28x-1%29%5E2+=+14.....1...solve for x
2x%5E2+-+%28x%5E2-2x%2B1%29+=+14
2x%5E2+-x%5E2%2B2x-1+=+14
x%5E2+%2B2x-1+=+14
x%5E2+%2B2x-1+-14=0
x%5E2+%2B2x-15=0.....use quadratic formula


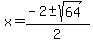
x+=+%28-b+%2B-+sqrt%28+b%5E2-4%2Aa%2Ac+%29%29%2F%282%2Aa%29+...note a=1, b=2 and c=-15
x+=+%28-2%2B-+sqrt%28+2%5E2-4%2A1%2A%28-15%29+%29%29%2F%282%2A1%29+
x+=+%28-2%2B-+sqrt%28+4%2B60%29+%29%2F2+
x+=+%28-2%2B-+sqrt%28+64+%29%29%2F2+
x+=+%28-2%2B-+8%29%2F2+
solutions:
x+=+%28-2%2B8%29%2F2+
x+=+6%2F2+
x+=+3+
or

x+=+%28-2-8%29%2F2+
x+=+-10%2F2+
x+=+-5+

now find y

y=x-1
y=3-1
y=2
or
y=-5-1
y=-6
so, you have two sets of solutions and they are:

highlight%28x+=+3+%29 and highlight%28y=2%29
or
highlight%28x+=+-5+%29 and highlight%28y=-6%29