SOLUTION: 2 LINEAR EQUATIONS IN 2 UNKNOWNS or SIMULTANEOUS LINEAR EQUATIONS IN 2 UKNOWNS in 5 years, jose would be twice the age of Ana. Five years ago, jose was 4 times as old as ana. Ho

Algebra ->  Coordinate Systems and Linear Equations -> SOLUTION: 2 LINEAR EQUATIONS IN 2 UNKNOWNS or SIMULTANEOUS LINEAR EQUATIONS IN 2 UKNOWNS in 5 years, jose would be twice the age of Ana. Five years ago, jose was 4 times as old as ana. Ho      Log On


   



Question 1122277: 2 LINEAR EQUATIONS IN 2 UNKNOWNS or SIMULTANEOUS LINEAR EQUATIONS IN 2 UKNOWNS
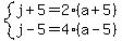
in 5 years, jose would be twice the age of Ana. Five years ago, jose was 4 times as old as ana. How old is Jose now?

Answer by josgarithmetic(39618) About Me  (Show Source):
You can put this solution on YOUR website!
--------------------------------------------------------------
2 LINEAR EQUATIONS IN 2 UNKNOWNS or SIMULTANEOUS LINEAR EQUATIONS IN 2 UKNOWNS
in 5 years, jose would be twice the age of Ana. Five years ago, jose was 4 times as old as ana. How old is Jose now?
------------------------------------------------------------


system%28j%2B5=2%28a%2B5%29%2Cj-5=4%28a-5%29%29