You can
put this solution on YOUR website! how do I solve -x-5y+z=17
-x-y+z=1
2x+5y-3z=-10
- x - 5y + z = 17 ------- eq (i)
- x - y + z = 1 --------- eq (ii)
2x + 5y - 3z = - 10 ----- eq (iii)
4y = - 16 -------- Subtracting eq (i) from eq (ii)
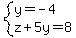
Right away you can see that 
- x - 5(- 4) + z = 17 ------- Substituting - 4 for y in eq (i)
- x + 20 + z = 17
- x + z = - 3 ------- eq (iv)
2x + 5(- 4) - 3z = - 10 ------- Substituting - 4 for y in eq (iii)
2x - 20 - 3z = - 10
2x - 3z = 10 ------- eq (v)
- 3x + 3z = - 9 ------- Multiplying eq (iv) by 3 ------ eq (vi)
- x = 1 ------- Adding eqs (v) & (vi)

I leave it to you to find z
By the way. z CAN NEVER = 28, as YOU-KNOW-WHO will have you believe!