SOLUTION: What is the impedance of a circuit whose current is (-6-2i) amps and whose electromotive force is (-50 +100i) volts?
Algebra
->
Complex Numbers Imaginary Numbers Solvers and Lesson
->
Lesson
-> SOLUTION: What is the impedance of a circuit whose current is (-6-2i) amps and whose electromotive force is (-50 +100i) volts?
Log On
Algebra: Complex Numbers
Section
Solvers
Solvers
Lessons
Lessons
Answers archive
Answers
Click here to see ALL problems on Complex Numbers
Question 878006
:
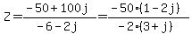
What is the impedance of a circuit whose current is (-6-2i) amps and whose electromotive force is (-50 +100i) volts?
Answer by
Fombitz(32388)
(
Show Source
):
You can
put this solution on YOUR website!