

First get it in the form x+iy by multiplying numerator
and denominator by the conjugate of the denominator:
Change both iČ's to (-1):
Factor 4 out of the numerator:
So the rectangular form is:


That is represented by the vector (line) connecting the origin to the point
(x,y)= (
,-1), We draw a perpendicular to the x-axis, and indicate
the angle
by a red arc:
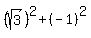
We find the value of r (the hypotenuse) by the Pythagorean theorem:








r is always positive so we take the positive square root:


We find
by using any trig function, say the cosine;
cos(theta)=adjacent/hypotenuse=x/r=sqrt(3)/2}}}
This tells us that the angle has a refence angle of 30°, but since
it is in quadrant IV, we subtract from 360° and get


Next we know that
, so
Also, we know that
, so
So
x + iy = 2·cos(330°)+i·2·sin(330°) = 2[cos(330°) + i·sin(330°)]
Edwin