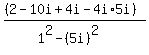
SOLUTION: Find the quotient and express the answer in standard form of a complex number. 2+4i/1+5i
Algebra
->
Complex Numbers Imaginary Numbers Solvers and Lesson
->
Lesson
-> SOLUTION: Find the quotient and express the answer in standard form of a complex number. 2+4i/1+5i
Log On
Algebra: Complex Numbers
Section
Solvers
Solvers
Lessons
Lessons
Answers archive
Answers
Click here to see ALL problems on Complex Numbers
Question 777459
:
Find the quotient and express the answer in standard form of a complex number.
2+4i/1+5i
Answer by
MathLover1(20850)
(
Show Source
):
You can
put this solution on YOUR website!
....