SOLUTION: (i)^2i solve it
Algebra
->
Complex Numbers Imaginary Numbers Solvers and Lesson
->
Lesson
-> SOLUTION: (i)^2i solve it
Log On
Algebra: Complex Numbers
Section
Solvers
Solvers
Lessons
Lessons
Answers archive
Answers
Click here to see ALL problems on Complex Numbers
Question 675317
:
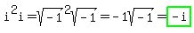
(i)^2i solve it
Answer by
ReadingBoosters(3246)
(
Show Source
):
You can
put this solution on YOUR website!
Knowing that i =
...
.....................
Delighted to help.
-Reading Boosters
Website: www.MyHomeworkAnswers.com
Wanting for others what we want for ourselves.