SOLUTION: another problem: sq root of x-2 divided by sq root of x-5

Algebra ->  Complex Numbers Imaginary Numbers Solvers and Lesson  -> Lesson -> SOLUTION: another problem: sq root of x-2 divided by sq root of x-5      Log On


   



Question 60686: another problem:
sq root of x-2 divided by sq root of x-5

Answer by funmath(2933) About Me  (Show Source):
You can put this solution on YOUR website!
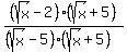
%28sqrt%28x%29-2%29%2F%28sqrt%28x%29-5%29
Multiply the top and bottom by the conjugate of the bottom: %28sqrt%28x%29%2B5%29
%28sqrt%28x%29-2%29%28sqrt%28x%29%2B5%29%2F%28%28sqrt%28x%29-5%29%28sqrt%28x%29%2B5%29%29

highlight%28%28x%2B3sqrt%28x%29-10%29%2F%28x-25%29%29
:
Happy Calculating!!!