SOLUTION: I'm having an extremely hard time with Simplifying Complex Fractions! Thank you for helping me!! 1.) 4 + 2/x _______ x/3+1/6

Algebra ->  Complex Numbers Imaginary Numbers Solvers and Lesson  -> Lesson -> SOLUTION: I'm having an extremely hard time with Simplifying Complex Fractions! Thank you for helping me!! 1.) 4 + 2/x _______ x/3+1/6       Log On


   



Question 59770:
I'm having an extremely hard time with Simplifying Complex Fractions! Thank you for helping me!!
1.) 4 + 2/x
_______
x/3+1/6


2.) 1
_______
K+2
________
5
______
K^2-4


3.) 16x^2-49y^2
___________
xy
___________
4 7
___ - ___
y x


4.) 5
____ -5
3r-1
_____________
5
____ +5
3r-1



5.) -5 2
____ + ____
x+5 x+2
_______________
2 -5
____ - _____
x+2 x+4

Answer by tutorcecilia(2152) About Me  (Show Source):
You can put this solution on YOUR website!
The best way to solve complex fractions is to:
First, try to factor as much as possible
Second, try to eliminate denominators by multiplying each fraction (top and bottom) by a common denominator.
Third, continue to simplify or re-factor if possible.
.
1. %28%284+%2B+2%2Fx%29%2F+%28x%2F3%2B1%2F6%29+%29 [No factoring involved]
%28%28%2818x%29%284%2F1+%2B+2%2Fx%29%29%2F+%28%2818x%29%28x%2F3%2B1%2F6%29%29+%29[Find the common denominator (18x)]
%28%2872x%2B36%29%2F+%286x%5E2%2B3x%29+%29 [Cancel wherever necessary]
%28++%28%289%29%288x%2B4%29%29%2F+%28+%283x%29%282x%2B1%29+%29+%29[In this case you can re-factor]
%28+%28%283%29%288x%2B4%29%29%2F+%28%281x%29%282x%2B1%29%29+%29 [Cancel wherever necessary]
%28+%2824x%2B12%29%2F+%282x%5E2%2Bx%29+%29 [Simplify]
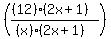
%28+%28%2812%29%282x%2B1%29%29%2F%28+%28x%29%282x%2B1%29%29+%29 [Re-factor again]
%28+%28%2812%29%282x%2B1%29%29%2F%28+%28x%29%282x%2B1%29%29+%29 [Cancel again]
12/x [final answer]
.

2.)%28+%281%2F%28K%2B2%29%29%2F%285%2F%28K%5E2-4%29%29+%29
%28%281%2F%28K%2B2%29%29%2F%285%2F%28%28K-2%29%29%28K%2B2%29%29%29%29 [Factor wherever possible]
%28%28K%2B2%29%281%2F%28K%2B2%29%29%2F%28K%2B2%29%285%2F%28%28K-2%29%29%28K%2B2%29%29%29%29[Find the common denominator ((K+2)]
%28%281%29%2F%285%2F%28K-2%29%29%29%29%29[Cancel wherever possible]
%28+%281%29%28%28%28K-2%29%2F5%29%29%29 [Flip the denominator and multiply]
%28%28K-2%29%2F5%29%29%29[final answer]