SOLUTION: Prove |z1/z2|=|z1|/|z2| without using the polar form.

Algebra ->  Complex Numbers Imaginary Numbers Solvers and Lesson  -> Lesson -> SOLUTION: Prove |z1/z2|=|z1|/|z2| without using the polar form.      Log On


   



Question 1104383: Prove |z1/z2|=|z1|/|z2| without using the polar form.
Answer by math_helper(2461) About Me  (Show Source):
You can put this solution on YOUR website!
+abs%28z1%29+=+abs%28a%2Bbi%29+=+sqrt%28a%5E2%2Bb%5E2%29+
+abs%28z2%29+=+abs%28c%2Bdi%29+=+sqrt%28c%5E2%2Bd%5E2%29+
notice that +abs%28z1%29%5E2+=+%28a%2Bbi%29%28a-bi%29+

= +abs%28+%28%28ac%2Bbd%29+%2B+i%28bc-ad%29%29+%2F+%28c%5E2%2Bd%5E2%29%29+
=
: : :
After multiplying out and canceling a 2abcd with a -2abcd in the numerator...
: : :
=
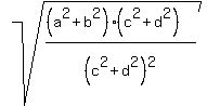
= +sqrt%28+%28%28a%5E2%2Bb%5E2%29%28c%5E2%2Bd%5E2%29%29%2F%28c%5E2%2Bd%5E2%29%5E2%29+
= +sqrt+%28%28a%5E2%2Bb%5E2%29%2F%28c%5E2%2Bd%5E2%29%29+ = +sqrt%28a%5E2%2Bb%5E2%29+%2F+sqrt%28c%5E2%2Bd%5E2%29+
= +abs%28z1%29+ / +abs%28z2%29+
Done.