SOLUTION: if (x+iy)^3=y+vi then show that y/x+v/y=4(x^2-y^2)

Algebra ->  Complex Numbers Imaginary Numbers Solvers and Lesson -> SOLUTION: if (x+iy)^3=y+vi then show that y/x+v/y=4(x^2-y^2)      Log On


   



Question 986688: if (x+iy)^3=y+vi then show that y/x+v/y=4(x^2-y^2)
Answer by josgarithmetic(39633) About Me  (Show Source):
You can put this solution on YOUR website!
x%5E3%2B3x%5E2%28iy%29%2B3x%28iy%29%5E2%2B%28iy%29%5E3=y%2Bvi
x%5E3%2B3ix%5E2y-3xy%5E2-iy%5E3=y%2Bvi
x%5E3-3xy%5E2%2Bi3x%5E2y-iy%5E3=y%2Bvi
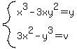
%28x%5E3-3xy%5E2%29%2B%283x%5E2-y%5E3%29%2Ai=y%2Bvi

Each member is in the form a%2Bbi and corresponding coefficients can be equated.

system%28x%5E3-3xy%5E2=y%2C3x%5E2-y%5E3=v%29

Try finding a formula for y%2Fx using the first equation; and try getting v%2Fy using the second equation and see what more you can find from those. ( I have not yet tried myself to finish this.)