SOLUTION: I = p(1 + r) for r
Algebra
->
Complex Numbers Imaginary Numbers Solvers and Lesson
-> SOLUTION: I = p(1 + r) for r
Log On
Algebra: Complex Numbers
Section
Solvers
Solvers
Lessons
Lessons
Answers archive
Answers
Click here to see ALL problems on Complex Numbers
Question 9831
:
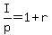
I = p(1 + r) for r
Answer by
prince_abubu(198)
(
Show Source
):
You can
put this solution on YOUR website!
<---- Start
<------ divide both sides by p
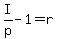
<------ subtract 1 from both sides.