SOLUTION: 1. Use calculus to find the absolute minimum of f(x) = x^2 – 6x + 2 2. Evaluate two different ways: lim (x^2 – 16) / (x -4) where x -> 4 3. Where is f(x) = -sin x + cos

Algebra ->  Complex Numbers Imaginary Numbers Solvers and Lesson -> SOLUTION: 1. Use calculus to find the absolute minimum of f(x) = x^2 – 6x + 2 2. Evaluate two different ways: lim (x^2 – 16) / (x -4) where x -> 4 3. Where is f(x) = -sin x + cos       Log On


   



Question 979130: 1. Use calculus to find the absolute minimum of f(x) = x^2 – 6x + 2
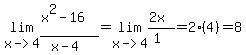
2. Evaluate two different ways: lim (x^2 – 16) / (x -4) where x -> 4
3. Where is f(x) = -sin x + cos x concave up on [0, 2π] (it may help to consider graphs)

Answer by Fombitz(32388) About Me  (Show Source):
You can put this solution on YOUR website!
1. Find the derivative.
df%2Fdx=2x-6
Set it equal to zero.
2x-6=0
2x=6
x=3
So when x=3,
y=3%5E2-6%283%29%2B2
y=9-18%2B2
y=7
Since the second derivative, 2%3E0, the extrema at x=3 is a minimum.
.
.
.
2. lim%28x-%3E4%2C%28x%5E2-16%29%2F%28x-4%29%29=lim%28x-%3E4%2C%28x%2B4%29%29=4%2B4=8 - Removable discontinuity.
lim%28x-%3E4%2C%28x%5E2-16%29%2F%28x-4%29%29=lim%28x-%3E4%2C%282x%29%2F%281%29%29=2%284%29=8 - L'Hopital's Rule
.
.
.
3. Function in red, second derivative is in purple.
Function (red) is concave up when the second derivative (purple) is greater than zero.
.