SOLUTION: F(x)=3x^4-x^3-9x^2+159x-52 Find the complex zeros & write in factored form.

Algebra ->  Complex Numbers Imaginary Numbers Solvers and Lesson -> SOLUTION: F(x)=3x^4-x^3-9x^2+159x-52 Find the complex zeros & write in factored form.       Log On


   



Question 956067: F(x)=3x^4-x^3-9x^2+159x-52
Find the complex zeros & write in factored form.

Answer by Fombitz(32388) About Me  (Show Source):
You can put this solution on YOUR website!
f%28x%29=3x%5E4-x%5E3-9x%5E2%2B159x-52
.
.
.
graph%28300%2C300%2C-6%2C2%2C-50%2C50%2C3x%5E4-x%5E3-9x%5E2%2B159x-52%29
.
.
.
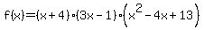
f%28x%29=%28x%2B4%29%283x-1%29%28x%5E2-4x%2B13%29
.
.
x%5E2-4x%2B13=0
x%5E2-4x%2B4%2B13=4
%28x-2%29%5E2=-9
x-2=0+%2B-+3i
x=2+%2B-+3i