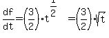
SOLUTION: Please help me solve the following derivatives f'(t) and f"(t) f(t)=t^3/2 f(t)=t-e^4t
Algebra
->
Complex Numbers Imaginary Numbers Solvers and Lesson
-> SOLUTION: Please help me solve the following derivatives f'(t) and f"(t) f(t)=t^3/2 f(t)=t-e^4t
Log On
Algebra: Complex Numbers
Section
Solvers
Solvers
Lessons
Lessons
Answers archive
Answers
Click here to see ALL problems on Complex Numbers
Question 954840
:
Please help me solve the following derivatives f'(t) and f"(t)
f(t)=t^3/2
f(t)=t-e^4t
Answer by
Fombitz(32388)
(
Show Source
):
You can
put this solution on YOUR website!
.
.