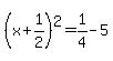
SOLUTION: Find all solutions of the equation x^2 + 1 x + 5 = 0 and express them in the form a + b i
Algebra
->
Complex Numbers Imaginary Numbers Solvers and Lesson
-> SOLUTION: Find all solutions of the equation x^2 + 1 x + 5 = 0 and express them in the form a + b i
Log On
Algebra: Complex Numbers
Section
Solvers
Solvers
Lessons
Lessons
Answers archive
Answers
Click here to see ALL problems on Complex Numbers
Question 950191
:
Find all solutions of the equation x^2 + 1 x + 5 = 0 and express them in the form a + b i
Answer by
Fombitz(32388)
(
Show Source
):
You can
put this solution on YOUR website!