SOLUTION: Given: z1=2+7i and z2=4-3i find z1, divided by z2 in a+bi format? do i just multiply by denominator, top and bottom?

Algebra ->  Complex Numbers Imaginary Numbers Solvers and Lesson -> SOLUTION: Given: z1=2+7i and z2=4-3i find z1, divided by z2 in a+bi format? do i just multiply by denominator, top and bottom?      Log On


   



Question 904338: Given: z1=2+7i and z2=4-3i
find z1, divided by z2 in a+bi format?
do i just multiply by denominator, top and bottom?

Answer by KMST(5328) About Me  (Show Source):
You can put this solution on YOUR website!
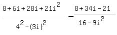
z%5B1%5D=2%2B7i and z%5B2%5D=4-3i
z%5B1%5D%2Fz%5B2%5D=%282%2B7i%29%2F%284-3i%29
At this point you would multiply times %284%2B3i%29%2F%284%2B3i%29=1 ,
or as you would say, multiply top and bottom by %284%2B3i%29 ,
which is the conjugate of denominator 4-3i .
That will give you a denominator that is a real number.
=%288%2B6i%2B28i%2B21i%5E2%29%2F%284%5E2-%283i%29%5E2%29=%288%2B34i-21%29%2F%2816-9i%5E2%29=%28-13%2B34i%29%2F%2816%2B9%29=%28-13%2B34i%29%2F25=-13%2F25%2B%2834%2F25%29i