Question 876816: Find the area enclosed between the curve y = x(x - 1)2 and the axis y = 0,
establishing first where they intersect. Found 2 solutions by Fombitz, richard1234:Answer by Fombitz(32388) (Show Source):
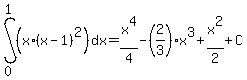
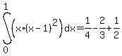
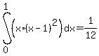
You can put this solution on YOUR website! The curve and the line y = 0 intersect at x = 0 and x = 1. Since x(x-1)^2 is positive along (0,1), the area enclosed is