SOLUTION: I have a Problem with complex Numbers suppose we have a complex Number Z=x+iy how shall we find it from Equation like this Z*Z+(1+i)*Z+(5-i4)=0.

Algebra ->  Complex Numbers Imaginary Numbers Solvers and Lesson -> SOLUTION: I have a Problem with complex Numbers suppose we have a complex Number Z=x+iy how shall we find it from Equation like this Z*Z+(1+i)*Z+(5-i4)=0.      Log On


   



Question 853804: I have a Problem with complex Numbers
suppose we have a complex Number Z=x+iy
how shall we find it from Equation like this

Z*Z+(1+i)*Z+(5-i4)=0.

Answer by Edwin McCravy(20056) About Me  (Show Source):
You can put this solution on YOUR website!
Z² + (1+i)Z + (5-i4) = 0

That's a quadratic in Z.  Use the quadratic formula:

Z+=+%28-%281%2Bi%29+%2B-+sqrt%28%281%2Bi%29%5E2-4%281%29%285-i4%29%29%29%2F%282%281%29%29+

Z+=+%28-1-i+%2B-+sqrt%28%281%2B2i%2Bi%5E2%29-4%285-i4%29%29%29%2F2+

Z+=+%28-1-i+%2B-+sqrt%281%2B2i%2Bi%5E2-20%2B16i%29%29%29%2F2+

Z+=+%28-1-i+%2B-+sqrt%281%2B18i%2Bi%5E2-20%29%29%29%2F2+


Replace i² by (-1)

Z+=+%28-1-i+%2B-+sqrt%281%2B18i%2B%28-1%29-20%29%29%29%2F2+

Z+=+%28-1-i+%2B-+sqrt%281%2B18i-1-20%29%29%29%2F2+



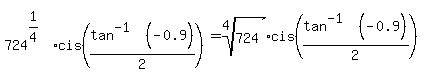
Now we have to find the square root by DeMoivre's theorem:

matrix%282%2C1%2C%22%22%2C-20%2B18i%29%5E%281%2F2%29%29

Put -20+18i in polar form

r=sqrt%28%28-20%29%5E2%2B18%5E2%29=sqrt%28400%2B324%29=sqrt%28724%29

theta=tan%5E%22-1%22%2818%2F%28-20%29%29=tan%5E%22-1%22%28-0.9%29

-20%2B18i+=+sqrt%28724%29%2Acis%28tan%5E%22-1%22%28-0.9%29%29

%22%22=%22%22



root(4,724)cis(expr(tan^"-1"(-0.9))/2)




or decimal approximation (and you can get it immediately with a TI-84
straight from the original equation):

Z = .4291964334+1.92144709i,  -1.429196433-2.92144709i

Edwin