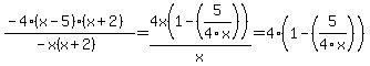
SOLUTION: 〖10.lim┬(x→∞)〗⁡〖-(4(x-5)(x+2))/(-x(x+2))〗
Algebra
->
Complex Numbers Imaginary Numbers Solvers and Lesson
-> SOLUTION: 〖10.lim┬(x→∞)〗⁡〖-(4(x-5)(x+2))/(-x(x+2))〗
Log On
Algebra: Complex Numbers
Section
Solvers
Solvers
Lessons
Lessons
Answers archive
Answers
Click here to see ALL problems on Complex Numbers
Question 852657
:
〖10.lim┬(x→∞)〗〖-(4(x-5)(x+2))/(-x(x+2))〗
Answer by
ewatrrr(24785)
(
Show Source
):
You can
put this solution on YOUR website!
Question 852658
→ 4 As x→∞