SOLUTION: The question asks to find the quotient of 2+i divided by -2+i in a+bi form.

Algebra ->  Complex Numbers Imaginary Numbers Solvers and Lesson -> SOLUTION: The question asks to find the quotient of 2+i divided by -2+i in a+bi form.       Log On


   



Question 818896: The question asks to find the quotient of 2+i divided by -2+i in a+bi form.
Answer by Alan3354(69443) About Me  (Show Source):
You can put this solution on YOUR website!
The question asks to find the quotient of 2+i divided by -2+i in a+bi form.
------
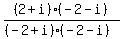
(2+i)/(-2+i)
Multiply NUM and DEN bye the conjugate of the DEN
= %282%2Bi%29%28-2-i%29%2F%28%28-2%2Bi%29%2A%28-2-i%29%29
= %28-4+-4i+-i%5E2%29%2F%284-i%5E2%29%29
= %28-3+-4i%29%2F5
or -3%2F5+-+%284%2F5%29i